تعل م الإنجليزية معنا No Twitter الكسر Fraction ويتكون الكسر من بسط Numerator و مقام Denominator
Yemen الكسور البسط والمقام Youtube
Fractions القسمه فى رياض الاطفال صور وفيديو
البسط والمقام للكسر Youtube
الارقام الكسرية في اللغة الانجليزية Youtube
البسط والمقام في الرياضيات بالانجليزي
مقام البسط مقام ومقام المقام بسط Youtube
تعلم اللغة الانجليزية للمبتدئين الكسور The Fractions Youtube
حل مسائل الكسور في الرياضيات Wikihow
تعل م الإنجليزية معنا On Twitter الكسر Fraction ويتكون الكسر من بسط Numerator و مقام Denominator
زاوية الرياضيات Rosary Basima
مصطلحات ورموز الرياضيات الصفحة 2 منتديات بوابة العرب
كتابة الكسر العشري في البسط والمقام باللغة العربية Youtube
الإنجليزية إلى متري التحويلات وحدة الغاء الطريقة
شرح مبسط لكيفية توحيد المقامات لجمع وطرح اسهل الطرق لتعلم الرياضيات Facebook
رياضيات صف خامس شرح درس الكسور العاديه رياضيات و حاسوب و انجليزي لسنه خامس ابتدائي ليبيا Facebook
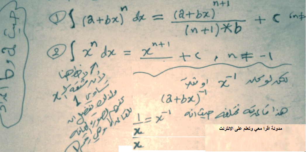
قواعد التكامل والتفاضل شرح مفصل لقوانين التكامل اقرا معي وتعلم على الانترنت